Talen en internetgemeenschappen als zwermsystemen

Marc van Oostendorp

Ongeredigeerde tekst (uit 2000) van een artikel voor een door de Taalunie uitgegeven bundel Taalbeleid en Taalvariatie onder redactie van Virginie Mamadouh en anderen.

1. Inleiding

Verstandig taalbeleid is voor een (belangrijk) deel mediabeleid, onder andere omdat taalbeleid zich richt op taal in de openbare ruimte – over private communicatie tussen burger valt nu eenmaal weinig beleid te maken. Omdat steeds meer communicatie in de openbare ruimte via media verloopt, kan een beleidsmaker het zich niet permitteren de invloed van de nieuwe media op de taal te negeren.

Een belangrijke invloed van de zogenoemde nieuwe media op het taalgebruik is dat deze (in veel hogere mate dan 'oude' massamedia als film, radio en televisie), taalvariatie faciliteren, zowel binnen de grenzen van een bepaalde taalgemeenschap als over die grenzen heen, in internationaal verband. De nieuwe technieken maken het niet alleen minder nodig om te streven naar al te stringente normen en afspraken, ze maken een dergelijk streven ook minder wenselijk. Een belangrijke reden daarvoor is dat de grenzen tussen private en publieke communicatie vervagen: veel communicatie wordt één-op-één, en helemaal ingesteld op de specifieke belangen van zowel zender als ontvanger. Het taallandschap raakt steeds meer out of control.

De rol van overheids- en andere min of meer officiële instellingen wordt daarmee nog beperkter dan ze feitelijk al is. Een centralistisch taalbeleid – bijvoorbeeld in de vorm van autoritaire taalnormering – is uit den boze. In plaats daarvan moet de overheid zich een plaats zoeken in een veld dat bestaat uit een groot aantal krachten.

Bij de Nederlandse Taalunie is op veel punten een omslag in het denken te bespeuren die juist deze richting ingaat. Het belang van en de zorg voor variatie binnen het Nederlands wordt door de Taalunie erkend – bijvoorbeeld door de viering van het twintigjarig bestaan van de Taalunie uitdrukkelijk in het teken van taalvariatie te stellen. Toch hanteert ook de Taalunie nog af en toe verouderde concepten en ideeën, opvallend genoeg bijvoorbeeld precies daar waar het gaat om haar beleid op het gebied van de nieuwe media.

In deze bijdrage presenteer ik een model van internetgemeenschappen dat naar mijn idee ook van toepassing is op taalvariatie. Dit model maakt gebruik van de metafoor van de zwerm, een niet-centralistisch georganiseerd superorganisme. Ik leg uit hoe deze metafoor het mogelijk maakt in te zien hoe de nieuwe media taalvariatie faciliteren, terwijl oude massamedia inherent meer gericht waren op standaardtaal. Ik plaats dit model ter contrast tegenover de (schaarse) publieke uitlatingen die vertegenwoordigers van de Taalunie hebben gedaan over het paradepaardje van het nieuwemediabeleid: het zogenoemde 'georganiseerde' Taalunieversum.

2. Oude en nieuwe media

Wat zijn nieuwe media? Er circuleren verschillende definities van dit begrip. Hier gebruik ik de volgende pragmatische definitie: nieuwe media zijn én gericht op meerdere personen tegelijkertijd én interactief. Oude media hebben een van deze twee karakteristieken, maar niet allebei (zie voor een handzaam en leesbaar overzicht Stappers e.a. 1997).

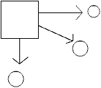
Dat betekent dat er dus twee verschillende soorten oude media zijn. De eersten worden 'massamedia' genoemd. Voorbeelden zijn de speelfilm, de radio en de televisie. Zij kunnen worden gemodelleerd als in figuur 1:


Figuur 1. Massamedia.

Er is bij de traditionele massamedia één grote partij die een grote hoeveelheid geld en tijd moet investeren om te kunnen uitzenden. De communicatie gaat één kant op, de ontvangers hebben geen mogelijkheid om via hetzelfde medium te reageren of iets terug te zeggen.

Massamedia hebben een belang bij taalkundige uniformiteit en bijvoorbeeld op nationaal niveau bij standaardtalen en op internationaal niveau bij de keuze van een (universele) lingua franca: het is voordelig als zoveel mogelijk ontvangers de boodschap kunnen ontvangen. Volgens sociolinguïstisch onderzoek is de invloed van dit soort medium daardoor oppervlakkig (beperkt tot het lexicale domein en fraseologie, en niet uitgestrekt tot de systematische grammaticale aspecten) en voorbijgaand van aard. (Labov 1994 is een vertegenwoordiger van dit standpunt.)

Naast deze massamedia hebben we de oude interactieve media, waarvan de telefoon het duidelijkste en succesvolste voorbeeld is. (Zie De Wit 1998 voor een overzicht van de opkomst van de telefonie in Nederland) Het model dat we hier zouden kunnen tekenen is dat uit figuur 2:

 
Figuur 2. Interactieve media.

Klassieke interactieve media zijn één-op-één: er zijn twee participanten die in principe gelijkwaardig zijn. Beide kunnen met even groot gemak berichten ontvangen en versturen. Beide investeren ongeveer evenveel in het contact. Het is niet mogelijk om op dezelfde manier grotere groepen mensen te bedienen (al zijn er via telefooncentrales bijvoorbeeld wel mogelijkheden voor telefonisch vergaderen). Via een telefoonsysteem kunnen alle taalvariėteiten worden gebruikt. Er hoeft alleen te worden teruggegrepen op een geformaliseerde standaardtaal of een lingua franca als dit in persoonlijk contact ook nodig zou zijn – bijvoorbeeld omdat de gesprekspartners geen andere gemeenschappelijke taalvariėteit beheersen. Aan de andere kant zijn interactieve media waarschijnlijk zeer belangrijk voor de verbreiding van nieuwe taalverschijnselen: Labov 1994.

Er zijn geen tekenen dat de hierboven genoemde types oude media op het punt staan te verdwijnen. Sterker, beide maken nog steeds nieuwe ontwikkelingen door (bijvoorbeeld in de vormen van HDTV en van mobiele telefonie). Wel is aan het scala recentelijk een nieuw soort media toegevoegd, waarvan het succesvolste voorbeeld tot nu toe het internet is. Deze worden wel nieuwe media genoemd en zouden we kunnen representeren als in figuur 3:


Figuur 3. Nieuwe media.

Aan nieuwemediaverkeer kunnen zowel grotere als kleinere partijen deelnemen. Alle participanten kunnen als ze dat willen tegen een relatief kleine investering met alle andere participanten (proberen te) communiceren. Er kan wel verschil gemaakt worden tussen grotere en kleinere partijen (bijvoorbeeld in termen van de hoeveelheid geïnvesteerd kapitaal), maar kleinere partijen kunnen ook onderling met elkaar communiceren. Nieuwe media combineren daarmee de belangrijkste kenmerken van de twee hierboven onderscheiden vormen van oude media: ze kunnen zowel als massamedium als als interactief medium gebruikt worden. Met het eerste delen ze de eigenschap dat één participant met een groot aantal anderen tegelijkertijd kan communiceren; met de tweede de eigenschap dat de participanten tot op zekere hoogte gelijkwaardig zijn. Er is mij nog geen grootschalig empirisch onderzoek bekend over de invloed die de nieuwe media (zullen) hebben op de keuze van taalvariėteit en op taalverandering. Het interactieve karakter van deze media zou ons echter doen voorspellen dat ze taalverandering kunnen ondersteunen. Ik verwacht bovendien dat ze, veel meer dan alle vormen van oude media, taalvariatie zullen faciliteren.

Mijn argumenten voor deze stelling zal ik hieronder geven. Eerst wil ik nog opmerken dat de grenzen tussen zogenoemde oude en nieuwe media veel vager zijn dan hierboven gesteld is.

In de eerste plaats wordt de vervaardiging van producten voor de oude massamedia steeds goedkoper: het is veel minder kostbaar om nu een cd te maken, dan het vroeger was om een lp te maken. Datzelfde geldt ook voor de productie van films, en radio- en televisieprogramma's. Al deze producten kunnen daarom voor steeds grotere groepen gemaakt worden. Hierin ligt waarschijnlijk een deel van de verklaring voor het verschijnsel dat we dialectrenaissance zouden kunnen noemen (Van Oostendorp 2000). Hoewel het dialect in het hele Nederlandse taalgebied langzaam maar zeker oude functies in het dagelijks leven verliest, wordt het tegelijkertijd steeds meer in culturele en semiculturele uitingen gebruikt.

In de tweede plaats verandert ook de telefonie van karakter en wordt steeds meer gebruikt voor allerlei soorten van telefonische informatiediensten die een beeld geven dat veel meer lijkt op het model van de nieuwe media. Dat geldt nog sterker in het geval van WAP en andere internettoepassingen via de mobiele telefoon. De grenzen tussen de verschillende media worden daardoor steeds moeilijker te trekken. Het totaal aan communicatiemiddelen in een westerse maatschappij krijgt daardoor steeds meer trekken van één geïntegreerd systeem, dat zelf is opgebouwd volgens het model van figuur 3.

3. Zwermsystemen

Netwerkgemeenschappen van mensen kunnen gekarakteriseerd worden als zwermen. Het is overigens niet noodzakelijk dat dergelijke gemeenschappen exclusief of zelfs gedeeltelijk gebruik maken van het internet of andere nieuwe media voor hun onderlinge communicatie. Ook een groep mensen met alleen 'echt' contact kan zich volgens deze principes organiseren, terwijl het omgekeerd in theorie ook mogelijk is om op internet een traditionele hiërarchische gemeenschap op te richten. Wel hebben gemeenschappen op internet waarschijnlijk sterker dan 'in real life' de neiging zich te organiseren op een manier die sterk lijkt op dat van biologische zwermen – verbanden van autonoom individuen van één biologische soort zoals trekvogels, bijen en mieren, die sociaal functioneren. Elk individu is autonoom en gedraagt zich volgens een eigen (aangeboren) verzameling gedragsregels. De zwerm als geheel gedraagt zich overigens ook bijna als een individu: een van de uitkomsten van de optelsom van individuele gedragsregels is kennelijk dat er een zekere cohesie ontstaat binnen de zwerm.

Kelly (1994:22) somt (onder andere) de volgende drie eigenschappen op voor zwermen op.

In de eerste plaats is er geen opgelegd centraal gezag; er is niet één individu in de zwerm dat plannen bedenkt en vervolgens opdrachten verstrekt aan de anderen. Een individu stemt zijn gedrag af op zijn omgeving maar volgt geen commando's op van andere individuen.

Ten tweede zijn de onderdelen autonoom; zoals hierboven opgemerkt wordt hun gedrag bepaald door een eigen geïnternaliseerde verzameling gedragsregels. De onderdelen zijn ook sterk met elkaar verbonden. Tussen de verschillende onderdelen van de zwerm vindt veel communicatie plaats; elk individu stemt de hele tijd zijn gedrag (volgens de bovengenoemde regels) af op de signalen die hij van zijn zwermgenoten krijgt.

Peers beïnvloeden ten slotte peers; dit levert een tamelijk onvoorspelbaar verband tussen de handelingen van de paricipanten. De communicatie vindt de hele tijd enkel en uitsluitend plaats met 'peers' en niet met een centraal punt. Omdat elk individu in contact staat met weer net een andere groep peers, moet het telkens een eigen afweging maken tussen de verschillende signalen die hij van verschillende kanten krijgt. Dit geeft het gedrag van de zwerm een moeilijk voorspelbaar karakter.

In het werk van Kelly klinkt net als het werk van veel andere schrijvers over de nieuwe media een sterk profetische, vaak zelfs utopische, ondertoon. Mij gaat het er echter hier niet om of een zwermmodel nu een nastrevenswaardige vorm van sociale organisatie is of niet. In plaats daarvan wil ik laten zien in hoeverre de kenmerken van zwermsystemen op toepassing zijn op netwerkgebruikers en op taalvariatie. Wat zijn deze kenmerken? Zwermsystemen zijn (vergelijk Kelly 1994:23-25):

Netwerkgemeenschappen via de nieuwe media vormen volgens Kelly een voorbeeld van een door mensen gebouwd zwermsysteem, met alle voor- en nadelen die daaraan vastzitten. In kwantitatief opzicht het grootste voorbeeld van een dergelijke gemeenschap is de verzameling wereldwijde internetgebruikers. Het hoeft nauwelijks betoog dat deze gemeenschap permanent bezich is zich aan te passen en ontwikkelen (en dat het misschien nog iets te vroeg is om te kunnen zeggen of er sprake is van evolutie). Ook de grenzeloze groei van het aantal internetgebruikers is duidelijk genoeg.

De gemeenschap is ook veerkrachtig. Er valt geen vastomlijnde groep gebruikers aan te wijzen van wie het bestaan van het netwerk cruciaal afhangt of zonder wie de aard en de structuur van het netwerk zelfs essentieel zou veranderen.

Bovendien is de netwerkgemeenschap zover we nu kunnen zien innovatief; het is misschien alleen een beetje ongebruikelijk om te zeggen dat de innovatie vrij traag verloopt; maar in dit kader kan er misschien op worden gewezen dat de snelheid van de groei van het internet zelf in het niet valt bij de enorme snelle introductie van de mobiele telefonie, in ieder geval in Europa. Daarnaast is het aantal daadwerkelijk geaccepteerde technologische innovaties op het internet zelf ook vrij beperkt: de populairste toepassing is nog steeds e-mail, dat een van de oudste toepassingen van de voorgangers van het internet was.

Interessanter is echter dat ook een taal, als sociaal object, kan worden gezien als een zwermsysteem (alternatieve, maar niet per se incompatibele, modellen zijn te vinden in Bourdieu 1982, De Swaan 1998ab), waarbij de individuele taalvariėteit, het taalgebruik van de enkele taalgebruiker als constituerend individueel onderdeel gezien kan worden. In mijn ogen heeft het althans dezelfde eigenschappen.

Zo behoort het tot de best bekende eigenschappen van talen dat ze veranderen. Het is nog altijd niet precies duidelijk waarom dit gebeurt, maar een deel van de veranderingen kan zeker worden toegeschreven aan aanpassingen aan 'omgeving'. Lexicale innovatie is bijvoorbeeld vaak het gevolg van de confrontatie van de taalgemeenschap met nieuwe concepten. Ook het toepassingsdomein van een taal binnen een bepaalde gemeenschap kan zich naar gelang de omstandigheden uitbreiden of juist beperken. Of je in dit kader van evolutie kunt spreken, lijkt mij een beetje de vraag; maar zoals hierboven uiteengezet geldt die twijfel ook het karakter van de internetgemeenschap.

In de technische zin die hierboven aan het woord is verleend, zijn talen en taalgemeenschappen ook veerkrachtig. Individuele taalgebruikers en individuele taalelementen zijn niet van belang. Taalgebruikers kunnen sterven, taalconstructies kunnen in onbruik of vergetelheid raken zonder dat dit de essentie van de taal aanpast. Er is geen enkele taalgebruiker van het Nederlands die absoluut onmisbaar is, zoals er ook geen enkel woord of grammaticale trek van het Nederlands niet vervangen zou kunnen worden door bijvoorbeeld een parallel in het Engels zonder dat het Nederlands daardoor ineens zijn Nederlandse karakter zou verliezen.

Het grenzeloze karakter van talen heb ik al kort aangestipt, maar wordt bijvoorbeeld zeer duidelijk als we kijken naar het Engels dat zich in de twintigste eeuw in veel opzichten heeft ontwikkeld tot een taal die door een fors deel van de wereldbevolking wordt gebruikt en die bovendien op een ongekend aantal domeinen toegepast wordt – ook op domeinen waarop andere talen nooit gebruikt zijn, zoals internationale communicatie over ruimtevaartprojecten. Al deze veranderingen gebeuren vrijwel zonder dat dit het taalgebruik van de individuele taalgebruiker per se beïnvloedt (mij zijn in ieder geval geen onderzoeken bekend waarin een dergelijke invloed wordt aangetoond).

Over het innovatieve karakter van talen valt tot slot nog op te merken dat taalverandering zoals bekend ook voortkomt uit interne taalvariatie: bepaalde variėteiten winnen op een bepaald moment een zeker prestige en spreiden daardoor kenmerken uit naar andere variėteiten. Ook hier valt over de 'traagheid' van de taalverandering natuurlijk te twisten, traagheid is een relatief begrip. Een zekere conservativiteit is in ieder geval duidelijk nodig om communicatie over generatiegrenzen mogelijk te maken.

Er lijkt al met al veel te zeggen om het zwermsysteem als model te nemen voor een taal, als we deze definiëren als een koepelterm voor een verzameling taalvariėteiten. Dat betekent op zijn beurt dat we hetzelfde model kunnen gebruiken voor nieuwe media als voor talen. Hieruit volgt volgens mij dat de nieuwe media uitstekend geschikt zijn om talen als variatiesystemen te faciliteren.

4. Modellen voor taal en media

In de voorafgaande paragraaf heb ik uitdrukkelijk één bepaalde visie op taal gemodelleerd: een visie waarin onder 'het Nederlands' wordt verstaan: een verzameling Nederlandse-taalvariėteiten. We zouden kunnen zeggen dat andere modellen van media corresponderen met andere taalmodellen. Dat geldt in ieder geval voor de traditionele massamedia: deze corresponderen met een klassiek, centralistisch model van taal, waarbij er één centrale variėteit is – de standaardtaal. In een model dat gebaseerd is op een standaard, is de taal bijna het tegenovergestelde van een zwerm.

Talen in een dergelijk model zijn veel conservatiever en minder veerkrachtig. Een streng centralistische visie op taal is bijna omgekeerd aan een zwermvisie:

Voor de exploitanten van massamedia heeft een centralistische visie op taal een voor de hand liggend economisch voordeel: hoe meer groepen sprekers bekend zijn met een strak afgebakende standaardvariėteit voor een taal, des te groter is het potentiële bereik van producten die van die standaardvariėteit gebruik maken.

Het centralistische model heeft misschien sommige mensen bij de oprichting van de Nederlandse Taalunie voor ogen gestaan, maar heeft in de beleidspraktijk volgens mij nauwelijks een rol gespeeld. Taalnormering is bijvoorbeeld wel opgenomen in de statuten van de Taalunie, maar in de praktijk zijn er bij mijn weten geen serieuze pogingen gedaan een Academie Française-achtige structuur te bouwen.

De relatie tussen een zwermgebaseerd taalbeleid en traditionele massamedia is per definitie een moeizame. De relatie tussen de nieuwe media en een dergelijk beleid lijkt wat gemakkelijker. Doordat de nieuwe media interactief zijn, zijn ze in staat voortdurende wederzijdse adaptatie te faciliteren: taalgebruikers kunnen hun taal voortdurend precies afstemmen op hun gesprekspartner zonder dat ze hiervoor per se hoeven terug te grijpen op een standaardtaal of, op internationale schaal, op een universele lingua franca. Ook aanbieders van grote hoeveelheden informatie kunnen het zich gemakkelijker permitteren hun informatie gelijktijdig meertalig aan te bieden: iedere persoon die met hen contact zoekt kan in een taalvorm naar keuze bediend worden. Het is gemakkelijker om een webpagina aan te bieden dan om hetzelfde te doen met bijvoorbeeld een televisieprogramma (voor het laatste zijn meerdere kanalen nodig; dat geldt niet voor het eerste.).

Iets speculatiever is dat de verschillende technieken die aan de nieuwe media kunnen worden toegevoegd – met name spraaktechnologie en vertaalmachines – ook een gunstige invloed kunnen hebben op de taal als variėteitenzwerm. Beide soorten technieken zouden het mogelijk maken ingevoerde taal te 'normaliseren' op een manier die zo dicht mogelijk ligt tegen de taalvariėteit van de participant. Met vertaalmachines kan er vertaald worden van en naar een eventuele lingua franca. Gesproken taal wordt naar wens omgezet naar of juist afgeleid van genormaliseerde standaardtaal.

Een andere vorm waaronder de nieuwe media taalvariatie ondersteunen is hun snelheid. Deze maakt namelijk een relatief hoge tolerantie voor fouten mogelijk. Vergissingen – versprekingen, verschrijvingen, onduidelijkheden of overtredingen van de standaardnorm – kunnen namelijk heel snel worden hersteld, en daardoor is controle en (eind-)redactie vooraf minder hard nodig. Aanbieders van informatie kunnen makkelijker taalvormen kiezen die dicht bij hun eigen voorkeur liggen en hun keuze pas heroverwegen in geval van een eventueel misverstand. Dit maakt het mogelijk meer te experimenteren met taalvormen en ondersteunt dus met name het innovatieve karakter van de taal als zwermsysteem.

Hierboven is al gezegd, dat ook de oude (massa)media steeds meer het karakter van zwermsystemen krijgen. Dit impliceert dat ook zij steeds meer het zwermkarakter van taalvariatie ondersteunen. Doordat het relatief steeds goedkoper wordt om televisie te maken, ontstaan er steeds meer commerciële en regionale televisiestations, die zich kunnen richten op kleinere en specifiekere doelgroepen. Zij zijn daardoor minder gebonden aan een unieke standaardtaal dan de nationale televisiezenders van enkele decennia geleden. Wat geldt voor de televisie geldt ook voor andere massamedia: ook films, cds en dergelijke zijn goedkoper en dus voor kleinere doelgroepen te maken.

5. Taalbeleid en taalzwerm

De nieuwe media vormen volgens de hier uiteengezette redenering een uitstekend platform voor een taalbeleid dat gericht is op taalvariatie in plaats van op een centralistische standaardtaalpolitiek. In deze laatste paragraaf wil ik hier kort ingaan op enkele praktischer consequenties voor de taalpolitiek.

Het paradepaardje van het nieuwemediabeleid van de Nederlandse Taalunie is de zogenoemde portaalwebsite taalunieversum.org. Er zijn nog niet erg veel openbare documenten die de onderliggende gedachte onder deze website beschrijven. In een journalistiek artikel, dat verschenen is in Taalschrift, een uitgave van de Taalunie, lezen we: "De Nederlandse Taalunie [wil] een zogenaamde ‘parapluwebsite lanceren die een grote hoeveelheid sites moet samensmelten tot een overzichtelijk ‘Taalunieversum’. "(D. Pinedo, Taalschrift 1999-3:5; cursivering toegevoegd).

De gecursiveerde woorden zijn cruciaal tegengesteld aan de zwermgedachte. Het streven naar een 'paraplu' en 'overzichtelijkheid' past in een centralistische politiek. Het streven om websites – individuen in de zwerm die het web is – 'samen te smelten' tot één individu, of om een unieke toegang te bieden tot de informatie, getuigt van een zeker wantrouwen tegen de onbeheersbaarheid die eigen is aan zwermsystemen. Ook de slogan op het logo van het Taalunieversum, 'alles over het Nederlands' wijst overigens op een voorbijgaan aan een van de cruciale aspecten van ook de taal als zwermsysteem: de grenzeloosheid ervan.

Een succesvol beleid op het kruisvlak van taal en media moet volgens mij op andere grondslagen gebaseerd zijn. Zo moet zij zich niet beschouwen als een centraal punt, maar als een deel van de zwerm – als een van de vele individuen, met evenveel sturingskracht als elk ander. Een overheidsorganisatie als de Taalunie doet er dan ook goed aan zo transparant te zijn, zoveel mogelijk beleids- en andere stukken alsmede de integrale documentatie van haar eigen besluitvorming via het netwerk publiek toegankelijk te maken. Dat is weliswaar niet erg spannend of 'sexy', maar wel erg nuttig. Voorts kan ze stimuleren dat projecten die onder haar auspiciën tot stand gebracht zijn, voor zover mogelijk kosteloos ter beschikking worden gesteld. Het kan natuurlijk waar nodig sympathieke en belangrijke nieuwe projecten ondersteunen, bijvoorbeeld als het gaat om de documentatie van variatie binnen het Nederlands. En ten slotte zou ze kunnen deelnemen aan elektronische discussies over taalonderwerpen en dergelijke discussies zo nodig kunnen faciliteren.

6. Besluit

In deze bijdrage heb ik betoogd dat talen en nieuwe media onder eenzelfde model kunnen worden geanalyseerd: dat van de zwerm. Voor talen geldt dat in ieder geval in een visie die een taal niet ziet als een homogeen monolithisch geheel (zoals in een centralistische, op de standaardtaal gebaseerde visie), maar als een bundel taalvariėteiten. Een taalbeleid dat op een dergelijke visie gebaseerd is, laat zich gemakkelijker integreren in nieuwe media zoals met name het internet dan in de traditionele massmadia zoals radio en televisie. De nieuwe media faciliteren taalvariatie immers gemakkelijker dan de oude. Helaas is veel beleid tot nu toe gebaseerd op een impliciet of expliciet centralistisch gedachtegoed – op het gebied van de taal of op het gebied van de media. Het model van de taalzwerm lijkt mij echter realistischer dan dat van het 'georganiseerde Taalunieversum'.

Bibliografie

Beheydt, Ludo. 1991. Taal en omroep. 's-Gravenhage: Stichting Bibliographia

Neerlandica.

Bourdieu, Pierre. 1982. Ce que parler veut dire: l'economie des echanges linguistiques. Paris: Fayard.

Dibbets, Karel. 1993. Sprekende films: de komst van de geluidsfilm in Nederland 1928-1933. Amsterdam: Otto Cramwinckel.

Kelly, Kevin. 1994. Out of Control. The New Biology of Machines. London: Fourth Estate.

Labov, William. 1994. Principles of Linguistic Change. Oxford: Blackwell.

Oostendorp, M. van. 2000. Alle lolletjes in de luch. Dialectrenaissance in Nederland. Respons 4:11-17.

Stappers, J.G., A.D. Reijnders en W.A.J. Moelle. 1997. De werking van massamedia : een overzicht van inzichten. Amsterdam: Arbeiderspers. Derde, gewijzigde druk.

Swaan, Abram de. 1998a. A Political Sociology of the World Language System (1). The Dynamics of Language Spread. Language Problems and Language Planning 22.1: 63-75.

Swaan, Abram de. 1998b. A Political Sociology of the World Language System (1). The Unequal Exchange of Texts. Language Problems and Language Planning 22.2: 109-128.

Van de Velde, Hans. 1996. Variatie en verandering in het gesproken Standaard-Nederlands. Proefschrift Katholieke Universiteit Nijmegen.

Wit, Willem Onno de. 1998. Telefonie in Nederland 1877-1940: opkomst en ontwikkeling van een grootschalig technisch systeem. Amsterdam: Otto Cramwinckel.

Wijfjes, Huub. 1988. Radio onder restrictie. Overheidsbemoeiing met radioprogramma's 1919-1941. Amsterdam: Stichting Beheer IISG.